Hello Visitor!
Log In
or
Register
Home
My profile
Home
About
About M&H
Aims and Scope
Editorial Board
Reviewers
Issues
Current Issue
Browse Archive
Search
Article In Press
For Authors
Instruction To Authors
Online Submission
For Reviewers
Instruction To Reviewers
Contact
Reviewer Agreement Form
Search issue
MEDICINE & HEALTH
About
Aims and Scope
Editorial Policies and Guidelines
Editorial Board
Issues
Current Issue
Browse Archive
For Authors
Guidelines for Authors
Submit manuscript
Keyword guideline (MeSH)
Guidelines for online submission
For Reviewers
Review Comments Form
Reviewer Agreement Form
Guide for Reviewer
Related Links
Universiti Kebangsaan Malaysia
UKM Medical Centre
Centre for Research and Instrumentation Management
Centre for Graduate Management
Home
Share
|
faktor risiko
ESBL Bacteremia: Risk Factors For Severe Outcomes
Article |
December 12, 2022 - 3:25pm
| By
Muhammad Hazwan N
,
Najma K
,
RAMLIZA R
,
rozita H
,
Chee LL
,
Petrick P
Related Terms:
bacteremia
ESBL
mortality
Original article
outcome
risk factors
bakteremia
ESBL
faktor risiko
hasil
kematian
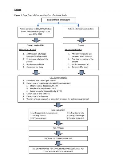
Value of Calcium Scores in Young CAD Patient Relatives
Article |
June 26, 2021 - 11:16am
| By
Mohd Ruslan M
,
Mohd Shawal FM
,
Norzailin AB
,
Shathiskumar G
,
Tiau WJ
,
Oteh M
,
Hamat Hamdi CH
Related Terms:
coronary artery disease
diagnosis
Original article
primary prevention
risk factors
diagnosis
faktor risiko
pencegahan awal
Penyakit koronari arteri
-
Article |
August 8, 2019 - 10:53pm
| By
SITI HN
,
SYARIFAH-NORATIQAH SB
,
ZULFARINA MS
,
Isa NM
,
Kamisah Y
Related Terms:
biomarkers
disease progression
rifabutin
risk factors
tuberculosis
Review article
faktor risiko
penanda-biologi
perkembangan penyakit
rifabutin
tuberkulosis
Sexual Dysfunction in Gynaecological Cancer Patients
Article |
December 4, 2014 - 8:52am
| By
TEE BC
,
AHMAD RASIDI MS
,
MOHD RUSHDAN MN
,
ISMAIL A
,
SIDI H
Related Terms:
gynaecological cancer
Original article
quality of life
risk factors
sexual dysfunction
disfungsi seksual
faktor risiko
kanser ginekologi
kualiti kehidupan